各类别心电信号图例

正常心电图(Normal)

Normal

一度房室传导阻滞(FDAVB)

FDAVB

早期复极图形改变(ER)

ER

房性早搏(PAC)

PAC

室性早搏(PVC)

PVC

T波改变(TWC)

TWC

右束支传导阻滞(RBBB)

RBBB

心房颤动(AF)

AF

左前分支阻滞(LAFB)

LAFB

其他-心房扑动(Others-AFL)

Others-AFL

其他-心肌梗死(Others-MI)

Others-MI

其他-心室预激(Others-VPE)

Others-VPE

标签 分布情况


all_rela




labelPie

数据集每个类别中所含的心电图数量统计

上图中直观地显示了每一类标签中心电图数量的多少以及不同标签的相互关联情况。

数据集诊断类别数量的比例统计

上图中直观地显示了数据集中单个Record所含标签数量的比例统计情况。

年龄及信号长度 统计分析

boxplot_agesexlabel
boxplot_tiemlen

数据集每诊断类别心电信号在患者年龄上的统计

数据集每诊断类别心电信号在信号时间长度上的统计

数据获取方式——京东云

点此进入京东云桌面
京东云二维码

京东云 二维码

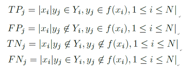
评价标准

metric
Precision
Recall
F1

算法评测

下图为决赛排名前11的队伍在每一类标签上F1得分的折线图

Normal_FDAVB_PAC

Normal_FDAVB_PAC

AF_RBBB_PVC

AF_RBBB_PVC

LAFB_ER_TWC_OTHERS

LAFB_ER_TWC_OTHERS

联系我们

清华大学视觉计算实验室
北京市海淀区
罗姆楼6-107

清华大学电子工程系视觉计算实验室主要研究方向包括智能医疗、3D成像及智能人机交互、工业检测、智能视觉监控等,已发表SCI论文数十篇。与国内外公司有广泛深入的合作,研究成果已应用到企业产品中;与康奈尔大学、伦敦大学等国外著名高校联系紧密,博士生在读期间有各种国际交流机会(国际会议、交换国外访问等)。

给我们发送邮件

或者在社交平台上关注我们

© 2020 视觉计算实验室